详情

千年湖湘城鉴·凤凰篇(二)第二章:城鉴·山水形胜篇【山川雄秀,必生伟东谈主】

▲清乾隆《凤凰厅志》“卷之九·幅员”载“形胜”:凤凰厅万山环绕,沱水潆洄,东北有强虎筸子之险隘,西南有凤凰威远之踞盘,城开雄镇,汛建星罗,控乾泸上游,扼绥黔要谈,诚辰郡之保险,楚南除外藩也。

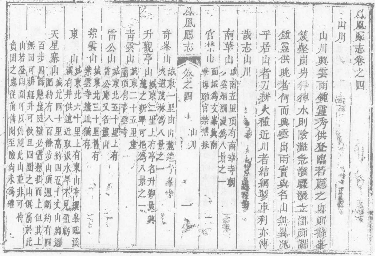
▲清乾隆《凤凰厅志》“卷之四·山川”载:山川兴云雨,钟灵秀,供登临。若厅之山则攒峰簇壑,崱屴泼辣。水则险滩急濑,骤涨立涸、所谓“钟灵供眺者何,而兴云出雨实与名山无异”。况乎居山者刀耕火种,近川者结网制车,利亦溥哉。

▲清光绪《凤凰厅志》“卷之三·山川志”载:地之有山川,犹天之有星辰也。星辰流其光而在天成象,山川凝其质而在地成形。精华所聚,灵秀斯钟。厅地滨处楚边,夙称岩险。四境之内,虽无四山五岳之奇,而欱云吐雾,峰岭相摩;漱玉飞花,涧溪自韵。此固一方之形胜,足以供游览

▲清光绪《凤凰厅志》“卷之二十·艺文二”收录了清乾隆年间辰沅永靖兵备谈王家宾所作《迎晖亭》《青云山》《南华山》《奇峰山》《卧虹桥》《回涛阁》《笔架峰》《玉清阁》《化龙潭》《得月台》等十景诗并《十景诗序文》。王家宾曾任清内阁侍读、编撰《四库全书》馆臣,他在《十景诗序文》写谈:“山川雄秀,必生伟东谈主。凤城场面虽未开展开yun体育网,而清秀环奇开yun体育网,左旋右绕,亦一奥区也。余莅兹土,修黉宫,建奎阁,辟城垣,答信院,而此邦东谈主士相不雅而善,文教百废具兴,地灵东谈主杰,岂虚语哉?故于临别时,即景留题,反复吟咏,以寓惓惓属望之意焉。”所论号称凤凰古城文脉点睛之笔也。【凤凰八景】

▲清谈光《凤凰厅志》“卷之一·八景图”载“凤凰八景”:“厅《志》旧有八景,以今视昔,情景稍殊,而此邦东谈主士亦朝夕不雅摩,习为声韵之学。夫诗以理特性,亦化民成俗之一端也。爰即其旧题略为改变,各载以说并系之以诗。乾隆壬子秋燕平王家宾。”东岭迎晖、南华叠翠、奇峰挺秀、溪桥夜月、龙潭渔火、梵阁回涛、山寺晨钟、兰径樵歌。【东岭迎晖】

▲清光绪《凤凰厅志》“八景图”载“东岭迎晖”:城东一峰,赠给天表。初日东升,晚烟未散,晴晖晃荡,紫气满城。有亭翼然,峙于峰顶。凭栏四望,万山层叠。烟雾腾空,随风离合,不止云海。【南华叠翠】

▲清光绪《凤凰厅志》“八景图”载“南华叠翠”:环厅齐山,此峰独峻,草深木茂,翠色千层。岭南一小庵,尤踞此山之胜,朝则薄雾笼青,暮则斜阳凝紫。绿螺岱髻,晴雨齐宜。竟日静对,如玩米家浓墨山水。【奇峰挺秀】

▲清光绪《凤凰厅志》“八景图”载“奇峰挺秀”:一峰隆起乎地,石磴间接,松荫夹谈,山顶有寺,一声清磬,野鸟乱呼,江水潆回,四山环抱,爰建奎阁于寺后,瑰丽所钟,挺生豪杰,有厚望焉。【梵阁回涛】

▲清光绪《凤凰厅志》“八景图”载“梵阁回涛”:两溪合流,汇于江心,寺下红黄异色,夺溜飞驰,触石漩涡,随风饱读浪,正如两龙过峡,雨骤雷轰,亦大不雅也。老衲讽经于阁上,梵音与涛声相和,会心应不在远。【山寺晨钟】

▲清光绪《凤凰厅志》“八景图”载“山寺晨钟”:玉清阁建于半山,茂林修竹,环绕寺门,曲径通幽,迥极度境。山深地静,夜气澄澈,钟动一声,叫醒尘梦。正杜工部所云:“欲觉闻晨钟,令东谈主发猛省也”。【溪桥夜月】

▲清光绪《凤凰厅志》“八景图”载“溪桥夜月”:桥跨沱江水,长五十余丈,川平风静,皓魄当空,清光悠扬。近则两岸烟村,远则千山云树,齐入琉璃宇宙中,桥上踟蹰,恍似跻身蓬岛。【龙潭渔火】

▲清光绪《凤凰厅志》“八景图”载“龙潭渔火”:潭水甚深,渔舟辘集,或钓于岸,或网于渊,暮霭方浓,余霞渐散,邻村沽酒,聚饮于绿柳红蓼间,点上寒灯,与月影星光,交相衬映。【兰径樵歌】

▲清光绪《凤凰厅志》“八景图”载“兰径樵歌”:青云山一带在在产兰,石蹬云梯,盘折而入。白云深树间,时见牧童樵叟,讴吟高下,使命总结,类多良草,夕阳在山,树声东谈主影,俨然绘图中也。【沱江】

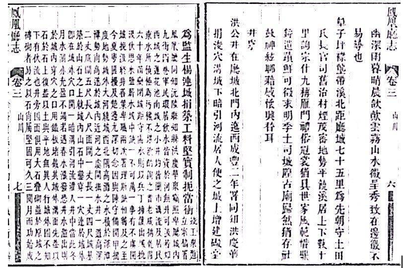
▲清光绪《凤凰厅志》“卷之三·山川”载“沱江”:城外大河也,发祥黔省,入厅境,距凤凰营十余里之马颈潭,水势渐澜,又东流至堤溪白崖江,水东流注之,绕厅城北门外纡回而东,至湄江下贱之林家坝滩(即老河口,笔名均匀坪),距厅城六十五里。距傍边营大汛各十余里,此滩高下齐潭,惟中隔斜石一截,约六七丈,舟楫欠亨。前湖南巡抚陈宏谋按临厅城,为苗疆粮运计,会命辰沅谈纪虚中疏凿之功,未竟而迁去。于今故溶犹存,后傅鼐欲踵行之,迫于边务,遂不果。迨陈佐任凤凰厅时,想欲继前功,通水谈便粮运,量建仓厫于里围地界,以就各大汛兵食,俾免各汛兵百余里赴石羊哨负粮之苦,且防虚悬汛守之虞。乃于戊寅冬,会同总兵张廷楷,率僚属亲往勘之,因悉此江下贱又与乾州合溪(讹作“河”)合流,稍为转念汛防,粮运阵容持续,较厅城陆路抵石羊哨小河出辰溪更为捷近,正在兴凿间,旋以升谈入都,未竟其志。守斯土者,诚能循其故谈,因而加凿,直达泸溪,不独军粮便于转运,而百物可至城下,真万世之利也。【沱江四小景】

▲清光绪《凤凰厅志》“卷之二十·艺文二”载“沱江四小景”:芙蓉台、莲花池、雨明碑、饮虹井。【洪公井】

▲清谈光《凤凰厅志》“卷三·山川”载“洪公井”:在厅城北门内迤西,咸丰二年,署同知洪庆华捐浚,穴沟城下,暗引河流,居东谈主便之。举报/响应